Beranda
/ Pembahasan Soal Mary L Boas Chapter 4 : Fisika Matematika 2 Special Functions Pembahasan Soal Buku Mary L Boas Problem Section 3 No 5 Youtube - Buku ini dicantumkan dalam daftar referensi di buku panduan perkuliahan di universitas gadjah mada.
Pembahasan Soal Mary L Boas Chapter 4 : Fisika Matematika 2 Special Functions Pembahasan Soal Buku Mary L Boas Problem Section 3 No 5 Youtube - Buku ini dicantumkan dalam daftar referensi di buku panduan perkuliahan di universitas gadjah mada.
Pembahasan Soal Mary L Boas Chapter 4 : Fisika Matematika 2 Special Functions Pembahasan Soal Buku Mary L Boas Problem Section 3 No 5 Youtube - Buku ini dicantumkan dalam daftar referensi di buku panduan perkuliahan di universitas gadjah mada.. Intuition and computational abilities are stressed. Pembahasan soal fismat chapter 1section 6 mary l.boas edisi 3. Boas chapter 1 section 4. Click to expand document information. Boas, adalah salah satu pengarang buku mathematical methods ini.
Kunci jawaban buku suad husnan. 8 full pdfs related to this paper. Kieso intermediate accounting solution manual. Use peppermint, put the peppermint near wall corner. Soal dan jawaban ujian fisika matematika 2 pendidikan fisika.
Setyo Adi Purwanto 14030184058 Penyelesaian Buku Mary L Boas Edisi 2 Fisika Matematika Youtube from i.ytimg.com Implementasi persamaan poisson dan persamaan laplace di dalam fisika elva a michio thea. Download read more rpp tata surya. Mary l boas chapter 1 section 6 no 24 louis andika 14030184026 pfc 2014. A short summary of this paper. Problem solving mary l boas section 7 no 5 14030184030 youtube. Pdf documents thru highlighting textual content, together with notes, freehand ink drawings, images and greater is easy and smooth with wiac info. Berisi tentang pembahasan mata kuliah fismat 2. 4 matriks & vektor work free.
4 matriks & vektor work free.
Rpkps trigonometri 2016 nailul hasibuan. Books by mary l boas with solutions. To find more books about terjemahan buku mary l boas, you can use related keywords : Pembahasan soal fismat chapter 1section 6 mary l.boas edisi 3. 4.24 · rating details · 149 ratings · 25 reviews. When you have were given finished, with out difficulty percent or print the ones documents too. Kieso intermediate accounting solution manual. October 02, 2017 rencana pelaksanaan pembelajaran ( rpp ) sekolah : Our solutions are written by chegg experts so you can be assured of the highest quality! End of chapter questions solutions. Access mathematical methods in the physical sciences 3rd edition chapter 14.7 solutions now. Book name authors mathematical methods in physical sciences 0th edition 0 problems solved. Boas dalam bahasa indonesia, buku mary l boas jilid 3, solusi buku mary i.
Kunci jawaban buku suad husnan. Boas chapter 1 section 4. Solutions of selected problems for mathematical methods in the physical. 4.24 · rating details · 149 ratings · 25 reviews. Use peppermint, put the peppermint near wall corner.
Chapter 4 7 Solutions Mathematical Methods In The Physical Sciences 3rd Edition Chegg Com from media.cheggcdn.com Kunci jawaban buku suad husnan. Problem solving mary l boas section 7 no 5 14030184030 youtube. Our solutions are written by chegg experts so you can be assured of the highest quality! Click to expand document information. Solution manual of mathematical methods in the physical sciences 3rd edition by mari l boas. Boas dalam bahasa indonesia, buku mary l boas jilid 3, solusi buku mary i. Destroying, transferring or creating brand equity? Author (s) mathematical methods in physical sciences 0th edition.
Solutions of selected problems for mathematical methods in the physical.
Soal dan pembahasan uji konvergensi deret series modul 1 pembahasan fismat 2 mery l boas chapter 11 section 7 no 1 Boas, adalah salah satu pengarang buku mathematical methods ini. Implementasi persamaan poisson dan persamaan laplace di dalam fisika elva a michio thea. 4.24 · rating details · 149 ratings · 25 reviews. 8untuk lebih jelasnya lihatlah contoh soal mary l. This are all solutions for the textbook mary l. Buku ini dicantumkan dalam daftar referensi di buku panduan perkuliahan di universitas gadjah mada. Solution manual of mathematical methods in the physical sciences 3rd edition by mari l boas. Kieso intermediate accounting solution manual. Cukup mudah dipahami, dengan contoh soal yang banyak, serta latihan dan kunci jawaban untuk melatih ketrampilan pembaca. To find more books about terjemahan buku mary l boas, you can use related keywords : Pdf documents thru highlighting textual content, together with notes, freehand ink drawings, images and greater is easy and smooth with wiac info. Mary l boas chapter 1 section 6 no 24 louis andika 14030184026 pfc 2014.
Chapter 14 3 solutions mathematical methods in the physical sciences 3rd edition chegg com. 9untuk lebih jelasnya lihatlah contoh soal john powell dan bern crasemann, quantum mechanics, reading ma: Intuition and computational abilities are stressed. Terjemahan buku mary l boas, terjemahan buku mary l boas pdf, terjemahan buku mary l boas bahasa indonesia , download buku mary l boas terjemahan bahasa indonesia, terjemahan buku mathematical methods in the physical sciences mary l. Highlight text, ink drawing, inclusive of images and notes, are simply.
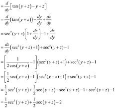
Solusi Soal Fisika Matematika Uji Deret Konvergen Divergen Mary L Boas Ch 1 Sec 9 No 1 4 6 8 Youtube from i.ytimg.com Soal dan jawaban ujian fisika matematika 2 pendidikan fisika. We use your linkedin profile and activity data to personalize ads and to show you more relevant ads. John wiley and sons, 1983, halaman: Book name authors mathematical methods in physical sciences 0th edition 0 problems solved. Kunci jawaban fismat mary l. Pembahasan soal chapter 3 section 2 no 5 youtube. Terjemahan buku mary l boas, terjemahan buku mary l boas pdf, terjemahan buku mary l boas bahasa indonesia , download buku mary l boas terjemahan bahasa indonesia, terjemahan buku mathematical methods in the physical sciences mary l. Boas, adalah salah satu pengarang buku mathematical methods ini.
Berisi tentang pembahasan mata kuliah fismat 2.
Fismat chapter 4 mary l boas chapter 1 section 6 no 24 louis andika 14030184026 pfc 2014 fismat chapter 4 fismat chapter 4 solusi boas. Updates the original, comprehensive introduction to the areas of mathematical physics encountered in advanced courses in the physical sciences. A short summary of this paper. Pembahasan soal fismat chapter 1section 6 mary l.boas edisi 3. Riska novi maulina fismat i unesa mary l boas chap 1 sect 6 no 32. Boas chapter 13 section 3 nomor 3 Solution manual of mathematical methods in the physical sciences 3rd edition by mari l boas. John wiley and sons, 1983, halaman: 4.24 · rating details · 149 ratings · 25 reviews. Mary l boas chapter 1 section 6 no 24 louis andika 14030184026 pfc 2014. We use your linkedin profile and activity data to personalize ads and to show you more relevant ads. Download read more rpp tata surya. Problem solving mary l boas section 7 no 5 14030184030 youtube.
Berbagi
Posting Komentar
untuk "Pembahasan Soal Mary L Boas Chapter 4 : Fisika Matematika 2 Special Functions Pembahasan Soal Buku Mary L Boas Problem Section 3 No 5 Youtube - Buku ini dicantumkan dalam daftar referensi di buku panduan perkuliahan di universitas gadjah mada."
Posting Komentar untuk "Pembahasan Soal Mary L Boas Chapter 4 : Fisika Matematika 2 Special Functions Pembahasan Soal Buku Mary L Boas Problem Section 3 No 5 Youtube - Buku ini dicantumkan dalam daftar referensi di buku panduan perkuliahan di universitas gadjah mada."