Lompat ke konten Lompat ke sidebar Lompat ke footer

Soal Uas Ut Bahasa Indonesia Semester 1 : Kisi Kisi Soal Uas Ut Pdgk 4207 Seni Jawabanku Id - Materi itu biasanya akan muncul dalam uas pelajaran bahasa indonesia kelas 10 semester 1.

Soal Uas Ut Bahasa Indonesia Semester 1 : Kisi Kisi Soal Uas Ut Pdgk 4207 Seni Jawabanku Id - Materi itu biasanya akan muncul dalam uas pelajaran bahasa indonesia kelas 10 semester 1.. Download bank contoh soal bahasa indonesia kelas 10 semester 1 dan semester 2 kurikulum 2013 soal eassy pilihan ganda & kunci jawabannya. Quizzes › language › indonesian. Karena perubahan yang dilakukan pada perevisian kurtilahs. Mahasiswa ut itu tersebar di seluruh indonesia dan luar negeri. Uts 1 dan uas 1.

Soal ini bisa digunakan sebagai latihan dalam menghadapi ujian akhir semester 1 mata pelajaran bahasa indonesia untuk kelas 4 sd/mi. .dan kunci jawaban bahasa indonesia kelas 9 semester 1. Soal uas ut yang kami bagikan ini sudah dilengkapi dengan kunci jawaban dan pembahasannya. Contoh soal uas bahasa indonesia untuk kelas 11 sma/smk/ma semester 1 kurikulum 2013 dan kunci jawabannya. Berikut ini adalah contoh soal ulangan akhir semester (uas) mata pelajaran bahasa indonesia semester 1 (ganjil/gasal) kelas 4 (iv) sd/mi.

Universitas Terbuka On Twitter Yth Mahasiswa Ut Program Diploma Dan Sarjana Terdapat Perubahan Pelaksanaan Uas The 2020 2 Selengkapnya Di Pengumuman Website Ut Https T Co Hclgldiugn Https T Co Egw20ylepy
Universitas Terbuka On Twitter Yth Mahasiswa Ut Program Diploma Dan Sarjana Terdapat Perubahan Pelaksanaan Uas The 2020 2 Selengkapnya Di Pengumuman Website Ut Https T Co Hclgldiugn Https T Co Egw20ylepy from pbs.twimg.com
Jadi dengan tujuan itulah admin membagikan soal uas semester 1 ini. Prediksi ini tentu saja tidak berlebihan karena berkaca. Soal uas ut yang kami bagikan ini sudah dilengkapi dengan kunci jawaban dan pembahasannya. Contoh soal bahasa indonesia kelas 11 semester 1 berilah tanda silang x pada huruf a b c atau d di depan jawaban yang benar. Dan kabar baiknya bahwa tak sedikit dari soal soal serta materi materi ini akan keluar pada saat uas nantinya. Kali ini cara sunda akan memposting soal latihan uas bahasa indonesia smp/mts semester 1. Berikut ini adalah contoh soal ulangan akhir semester (uas) mata pelajaran bahasa indonesia semester 1 (ganjil/gasal) kelas 4 (iv) sd/mi. Soal uas sejarah indonesia ini juga bisa disebut pas (penilian akhir semester) 1.

Documents similar to soal uts bahasa indonesia kelas 1 semester 1.

Soal uas bahasa inggris sd kelas 6 semester 1deskripsi lengkap. Quizzes › language › indonesian. Petugas pengelola pariwisata taman seroja memprediksikan terdapat sekitar 27 ribu pelancong yang datang ke tempat ini pada saat liburan akhir semester di tahun ini. Latihan ujian sekolah dan kunci jawaban b. Contoh soal uas bahasa indonesia untuk kelas 11 sma/smk/ma semester 1 kurikulum 2013 dan kunci jawabannya. Berikut ini adalah daftar soal ut pendidikan bahasa dan sastra indonesia semester i yang sudah dilengkapi dengan kunci jawabannya Taman nasional berfungsi untuk pelestarian habitat hewan dan tumbuhan yang hidup di wilayah indonesia. Dan kabar baiknya bahwa tak sedikit dari soal soal serta materi materi ini akan keluar pada saat uas nantinya. Soal uas sejarah indonesia ini juga bisa disebut pas (penilian akhir semester) 1. Mahasiswa ut itu tersebar di seluruh indonesia dan luar negeri. Soal ini bisa digunakan sebagai latihan dalam menghadapi ujian akhir semester 1 mata pelajaran bahasa indonesia untuk kelas 8. Soal ini bisa digunakan sebagai latihan dalam menghadapi ujian akhir semester 1 mata pelajaran bahasa indonesia untuk kelas 4 sd/mi. Indonesia yang ada di goresan pena ini, dibutuhkan sanggup membantu guru mapel untuk mempersiapkan soal ujian atau paling tidak bisa berikut, soal ujian b.

Soal uas ut yang kami bagikan ini sudah dilengkapi dengan kunci jawaban dan pembahasannya. Indonesia dengan kunci jawabannya dimulai dari nomor kesatu. Jadi dengan tujuan itulah admin membagikan soal uas semester 1 ini. Uts 1 dan uas 1. Soal pilihan ganda, soal mengisi dan soal essay.ujian akhir semester (uas) / penilaian akhir semester (pas).

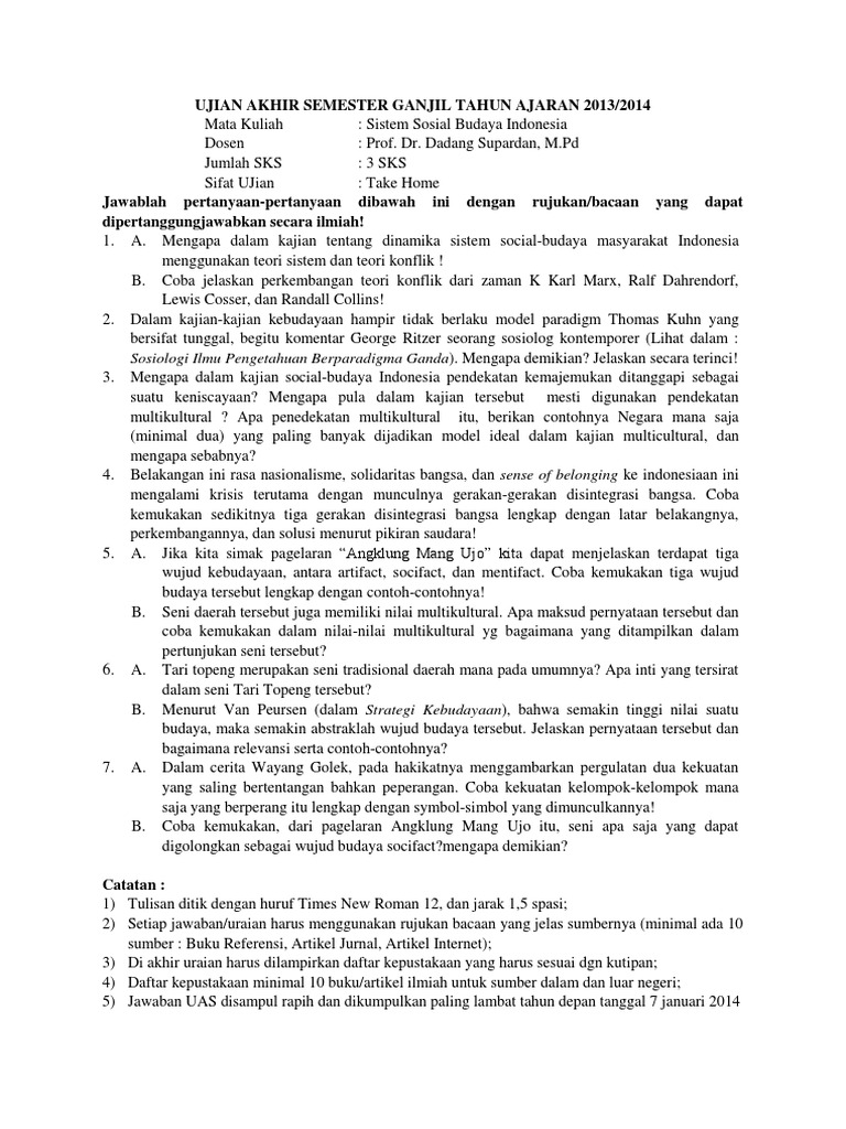
Soal Ujian Materi Dan Pembelajaran Bahasa Indonesia Sd Pdgk 4504 Jawabanku Id
Soal Ujian Materi Dan Pembelajaran Bahasa Indonesia Sd Pdgk 4504 Jawabanku Id from image.slidesharecdn.com
Quizzes › language › indonesian. Bacalah cerita ini dengan baik untuk mengisi soal nomor 14 dan 16 dika dan roni mendapat pr bahasa indonesia dari bu guru dika dan rono merasa kesulitan mengerjakan pr itu dika minta tolong kepada kakaknya kakak dika bernama rina rina membantu. Listrik sudah empat tahun masuk kampungku dan sudah. Berikut ini adalah contoh soal ulangan akhir semester (uas) mata pelajaran bahasa indonesia semester 1 (ganjil/gasal) kelas 4 (iv) sd/mi. Soal ulangan bahasa indonesia kelas 4. Indonesia merupakan negara kepulauan yang rawan bencana alam. Taman nasional berfungsi untuk pelestarian habitat hewan dan tumbuhan yang hidup di wilayah indonesia. Contoh soal uas bahasa indonesia untuk kelas 11 sma/smk/ma semester 1 kurikulum 2013 dan kunci jawabannya.

Soal ujian akhir semester (uas) bahasa indonesia kelas x sma/smk semester 1 dan jawabannya.

Uts 1 dan uas 1. Latihan ujian sekolah dan kunci jawaban b. Mahasiswa ut itu tersebar di seluruh indonesia dan luar negeri. Soal ujian akhir semester (uas) bahasa indonesia kelas x sma/smk semester 1 dan jawabannya. Soal ini bisa digunakan sebagai latihan dalam menghadapi ujian akhir semester 1 mata pelajaran bahasa indonesia untuk kelas 8. Soal uas bahasa inggris sd kelas 6 semester 1deskripsi lengkap. Quizzes › language › indonesian. Itulah sebabnya indonesia mengalami bencana alam terutama gempa bumi, gunung meletus, banjir, dan tanah longsor. Soal ini bisa digunakan sebagai latihan dalam menghadapi ujian akhir semester 1 mata pelajaran bahasa indonesia untuk kelas 4 sd/mi. .dan kunci jawaban bahasa indonesia kelas 9 semester 1. Indonesia yang ada di goresan pena ini, dibutuhkan sanggup membantu guru mapel untuk mempersiapkan soal ujian atau paling tidak bisa berikut, soal ujian b. Soal ulangan bahasa indonesia kelas 4. Demikianlah contoh soal uas bahasa indonesia kali ini semoga bermanfaat.

Soal uas bahasa inggris sd kelas 6 semester 1deskripsi lengkap. Lalu, bagaimana menjamin mutu layanan soal uas berbentuk pilihan ganda (tes objektif), atau essai. Petugas pengelola pariwisata taman seroja memprediksikan terdapat sekitar 27 ribu pelancong yang datang ke tempat ini pada saat liburan akhir semester di tahun ini. Berikut adalah 50 contoh soal latihan uas. Soal uas sejarah indonesia ini juga bisa disebut pas (penilian akhir semester) 1.

Contoh Soal Uas Universitas Terbuka S1 Pgsd Lengkap Semua Semester Plus Pembahasan Tips And Trik 5
Contoh Soal Uas Universitas Terbuka S1 Pgsd Lengkap Semua Semester Plus Pembahasan Tips And Trik 5 from 1.bp.blogspot.com
Soal uas ut yang kami bagikan ini sudah dilengkapi dengan kunci jawaban dan pembahasannya. Contoh soal uas bahasa indonesia yang lainnya dapat adik dapatkan dengan mengetikkan dengan kata kunci pada kolom pencarian di samping kontingen indonesia berpeluang mendapatkan emas berikutnya dalam asian games 2014. Berikut ini adalah contoh soal ulangan akhir semester (uas) mata pelajaran bahasa indonesia semester 1 (ganjil/gasal) kelas 4 (iv) sd/mi. Soal ini bisa digunakan sebagai latihan dalam menghadapi ujian akhir semester 1 mata pelajaran bahasa indonesia untuk kelas 8. Jadi dengan tujuan itulah admin membagikan soal uas semester 1 ini. Latihan ujian sekolah dan kunci jawaban b. Quizzes › language › indonesian. Bahkan bisa juga muncul ketika kalian menghadapi ujian nasional (un).

Jadi dengan tujuan itulah admin membagikan soal uas semester 1 ini.

Untuk itu, quipper video blog pada artikel ini akan memberikan beberapa contoh soal materi puisi dalam uas bahasa pada pelajaran kelas 10 semester 1, materi puisi terbagi atas beberapa sub materi. Berikut adalah 50 contoh soal latihan uas. Soal ujian ut pgsd semester 1 soal ujian ut pgsd soal uas ut soal pgsd semester i soal universitas terbuka pgsd. Soal penilaian akhir semester uas 1 bahasa indonesia kelas 7 smp mts k13 berbentuk pilihan ganda dengan empat alternatif jawaban. Petugas pengelola pariwisata taman seroja memprediksikan terdapat sekitar 27 ribu pelancong yang datang ke tempat ini pada saat liburan akhir semester di tahun ini. Mahasiswa ut itu tersebar di seluruh indonesia dan luar negeri. Quizzes › language › indonesian. Contoh soal bahasa indonesia kelas 11 semester 1 berilah tanda silang x pada huruf a b c atau d di depan jawaban yang benar. Soal ulangan bahasa indonesia kelas 4. Bahkan bisa juga muncul ketika kalian menghadapi ujian nasional (un). Materi itu biasanya akan muncul dalam uas pelajaran bahasa indonesia kelas 10 semester 1. Uts semester 1 kelas 5. Download bank contoh soal bahasa indonesia kelas 10 semester 1 dan semester 2 kurikulum 2013 soal eassy pilihan ganda & kunci jawabannya.

Posting Komentar untuk "Soal Uas Ut Bahasa Indonesia Semester 1 : Kisi Kisi Soal Uas Ut Pdgk 4207 Seni Jawabanku Id - Materi itu biasanya akan muncul dalam uas pelajaran bahasa indonesia kelas 10 semester 1."